Tablet ve fyzice (2)
Měřit a zpracovávat fyzikální jevy bez počítače? S tabletem snadno a zábavně.
Nedávno jsem psal článek o aplikaci Vernier Video Physics a využití ve fyzice. Nyní pokračuji povídáním o další možné metodě zpracování dat pomocí programu Vernier Graphical Analysis. Samozřejmě opět na tabletu. Co vlastně umí?

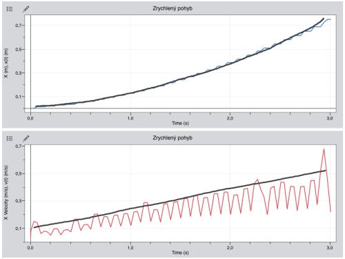
Dráha a rychlost v závislosti na čase (zrychlený pohyb)
Spolupráce s aplikací Vernier Video Physics
Zpracovává grafy z naměřených hodnot a umožňuje jejich prezentaci pomocí obrázků nebo tabulkových dat. Je otázkou, kde se dají zdrojové údaje pořídit. Jedna možnost je v již uvedené aplikaci Vernier Video Physics, která umí export naměřených hodnot. Výhodou je, že prakticky na celou akci potřebujete pouze tablet. Uvedený obrázek prezentuje rovnoměrný zrychlený pohyb, přičemž zde precizuje výstupy z videa. Na prvním grafu je krásně vidět kvadratická změna dráhy, na druhém lineární změna rychlosti. Výhodou aplikace je možnost prokreslení výsledků křivkou, dále lze naměřené hodnoty zobrazit v tabulce, popř. vyexportovat do tabulkového kalkulátoru (Numbers).
Spolupráce s přístrojem LabQuest 2
Jiný způsob je ve využití měřících modulů v jiném zařízení. iPad je totiž schopen i z nich zaznamenat hodnoty získané při pokusech a dále je analyzovat. Konkrétně zde jde o Vernier LabQuest 2, což je senzorická souprava pro měření. Musím říct, že propojení tabletu a LabQuestu je geniální! Přes společnou wi-fi se oba přístroje spolehlivě propojí, a potom již stačí naměřená data zpracovávat v aplikaci na iPadu. Kromě toho lze měření pomocí tabletu pouštět. Vyzkoušel jsem tři senzory, které jsou součástí zařízení, snímání zvuku, teploty a světla (viz odkaz pod článkem). Komunikace mezi iPadem a LabQuestem je nakažlivá a aplikaci Vernier Graphical Analysis posouvá do výrazně vyšší úrovně než u programu Video Physics.
Jde to i bez dalších zařízení
Poslední příklad ukazuje, jak je aplikace funkční i bez doprovodných modulů. Vernier Graphical Analysis má zabudován akcelerometr, který umí analyzovat pohybové jevy. Použil jsem skákající míč, u kterého se vykreslí závislost zrychlení na čase během dvou odrazů. Pro výuku je ale tento výstup obtížně použitelný, vykreslení ve směru jednotlivých os (x,y,z) není snadné interpretovat. Jedinou šancí je použití dvou nebo tří grafů pod sebou, přičemž vždy bude uveden jeden směr vybrané osy. Analyzovat tuto situaci ale moc nelze.
Zajímavější je jiný přístup: využití aplikace jako nástroj pro zpracování laboratorní práce. Do interních tabulek se zapíšou naměřené hodnoty a pomocí funkce se doplní graf o modelovou křivku. I když tuto metodu není problém realizovat pomocí nějakého tabulkového kalkulátoru, v tabletu má podobné měření motivační náboj.
Shrnutí
Výsledné grafy lze prokládat známými křivkami, přičemž se z numerických odhadů nabídne i funkční předpis. U některých náročnějších operací již iPad 2 hardwarově nestíhá, problémy jsou naštěstí jen občasné. Tato metoda je založena na výběru intervalu a následném prokreslení nějakou funkcí mezi jeho hranicemi. Křivky lze barevně odlišit a díky tomu, že v jednom výstupu mohu mít i tři grafy (příp. jeden graf třikrát), jde o zajímavou metodu pro porovnávání výsledků.
Aplikace pro iPad je k dostání za 4,49 € (k datu vzniku článku), nikde jsem k ní nenašel český manuál, ten ale není potřeba. Na stránkách vernier.com je dostatek informací v angličtině, videa na YouTube jsou spíše ilustrativní. Graphical Analysis je k dispozici i pro Android (zdarma), funkčnost ale vyzkoušenou nemám.
Nabízí se srovnání obou tabletových aplikací. Vernier Video Physics je zajímavá hračka, která propojuje řízenou zábavu s fyzikou podle uvážení učitele, je snadno použitelná a rozhodně může být velmi motivační. Program Vernier Graphical Analysis je vhodný pro odbornější přístup, zájemcům o hlubší zkoumání fyzikálních jevů dává velký prostor pro zpracování naměřených hodnot a docela kvalitní výstupy.
>>>>>
09-12-2013